译介|冰刺:你冰柜里的怪东西
冰刺是什么?
冰刺是一种偶尔会出现在冰格中的东西。和冰箱里会长出来的其他怪东西不同,冰刺除了冰啥也没有。它是物理现象的产物,而非生物学。

这里是一些我从自己厨房冰柜里面拍摄的照片。它们看上去有些像是山洞里面的石笋,不过在它们的成型过程中我的冰箱里面并没有滴水现象。 
如果你想自己试试,你可以使用普通的冰格,常见的家用冰柜,但是一定要用蒸馏水。你可以在大部分超市里面买到蒸馏水,差不多一美元就能买到一加仑。我们试过一些不同的冰柜,基本上都能长出一些冰刺。
冰刺怎么形成的?
冰刺形成于水固化成冰的过程。水会从上表面接近边缘的地方开始结冰,然后会自外而内地冻结,直到上表面只留下一个小洞还没有被冻住。在表面结冰的同时,整个方块都在从周围开始逐渐冻结。
由于水结冰之后体积会膨胀,水下的冰就会把剩余的水从表面的洞中挤压出去。(见下图)如果条件合适,被挤压出来的水就会冻结成冰刺。有点像岩浆从地底涌出之后形成火山口,但不同的是水不会从冰刺上留下来,而是会在冰刺的边缘冻结,让它变得更长。冰刺会持续生长,直到所有的水都冻结,或者那条管道被冻住。我们在普通冰格中观察到的最长冰刺有 56mm 长。 
为什么要蒸馏水?
大部分的冰格都能长出冰刺,但通常只限于蒸馏水。每天有几百万人在使用自来水制冰,大部分都没看到过冰刺。奇怪的是,有些人同样用自来水制冰却常常能看到冰刺,只是这种案例比较少见。
关于为什么蒸馏水能更稳定的长出冰刺,我有一些想法,但目前为止我还不能解释为什么自来水也能长出来。我们测试了不同浓度的盐水在 -7C 温度下长出冰刺的概率,结果如下图所示。

只要一点点的盐就足以遏制冰刺的生长。所有的自来水都有相对较高的各种金属盐杂质,所以很显然不同的杂质也会对冰刺的形成有不同的效果。
还有什么因素?
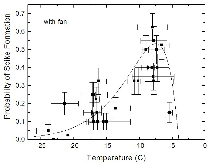
温度当然也是一个重要的因素,我们的一些实验显示温度刚好在冰点之下的环境更容易生长出冰刺。(见下图)我不是非常有把握,不过我怀疑如果温度过低,还没等冰刺长好那个冰刺的通道就会被冻住。所以如果你的冰淇淋太硬,那很可能是你的冰柜太冷了,没办法形成很多冰刺。
我们还发现,如果我们安装一个风扇来吹动空气,这有助于更稳定地形成冰刺。这很可能是因为流动的空气提供了一些蒸发降温,这让冰刺尖端稳定成形,导致冰刺通道在冻结之前更好地增长。在合适的温度下,加上风扇在表面的吹风,差不多有一半的冰格都会产生冰刺。
你可以在这里(.pdf) 读到更多科学细节。
本文中的照片都由 Kevin Lui (见下图)制作。他是一名加州理工大学的本科生,在一整个夏天冻了几千个冰块来研究冰刺背后的物理学。 我是通过 John Cooper 第一次接触到了冰刺现象,但在网络上已经有很多其他的冰刺观察,比如这里和这里。这里还有一些多伦多大学关于冰刺的报告。
